Does TextEdit/QTextDocument could be used for a complex editable document
-
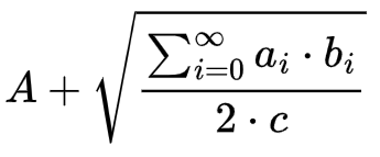
For my pet project a need QML item that allows editing of rather complex stuff. Something like formula editor in office applications. While
TextEditallows some HTML4, that's not enough for this task, as it can't edit, lets say something like mathematical matrix, system of equations or something like this:

Is it possible to use
QTextDocument+QTextObjectto achieve rendering and fluent editing, copy-pasting of such stuff?If not, would it be better to rely on private API
QQuickTextControl, or is it simpler to write it from scratch usingQKeySequenceto get OS independent behaviour?